Notice
Recent Posts
Recent Comments
Link
| 일 | 월 | 화 | 수 | 목 | 금 | 토 |
|---|---|---|---|---|---|---|
| 1 | 2 | 3 | ||||
| 4 | 5 | 6 | 7 | 8 | 9 | 10 |
| 11 | 12 | 13 | 14 | 15 | 16 | 17 |
| 18 | 19 | 20 | 21 | 22 | 23 | 24 |
| 25 | 26 | 27 | 28 | 29 | 30 | 31 |
Tags
- 코딩테스트
- 빅데이터 분석 기사
- R
- Numpy
- Oracel
- level 1
- seaborn
- matplotlib
- 빅분기
- 카카오
- 데이터 분석
- 프로그래머스
- oracle
- 실기
- 오라클
- 튜닝
- 알고리즘
- 머신러닝
- 실습
- pandas
- Kaggle
- sklearn
- python3
- Python
- 파이썬
- SQL
- level 2
Archives
- Today
- Total
라일락 꽃이 피는 날
[R] 그래프 그리기 본문
728x90
그래프 그리기
library(ggplot2)
| geom_point() | 산점도 |
| geom_col() | 평균 막대 그래프 |
| geom_bar() | 빈도 막대 그래프 |
| geom_line() | 선 그래프 |
| geom_boxplot() | 상자 그림 |
1. 산점도(Scatter Plot)
데이터를 x축과 y축에 점으로 표현한 그래프로, 변수 간 관계를 표현할 때 사용한다.
x축을 displ, y축을 hwy로 지정하여 배경 생성
ggplot(data = mpg, aes(x = displ, y = hwy))

배경에 산점도 추가
ggplot(data = mpg, aes(x = displ, y = hwy)) + geom_point()

x축 범위 3~6으로 지정
ggplot(data = mpg, aes(x = displ, y = hwy)) + geom_point() + xlim(3, 6)

x축 범위 3~6, y축 범위 10~30으로 지정
ggplot(data = mpg, aes(x = displ, y = hwy)) +
geom_point() +
xlim(3, 6) +
ylim(10, 30)

2. 막대 그래프 (Bar Chart)
데이터의 크기를 막대의 길이로 표현한 그래프로, 집단 간 차이를 표현할 때 사용한다.
2-1. 평균 막대 그래프 생성하기 (geom_col)
평균 막대 그래프는 각 집단의 평균값을 막대 길이로 표현한 그래프이다.
데이터를 요약한 평균표를 먼저 만든 후, 평균표를 이용해 그래프를 생성한다.
집단별 평균표 만들기
df_mpg <- mpg %>%
group_by(drv) %>%
summarise(mean_hwy = mean(hwy))
그래프 그리기
ggplot(data = df_mpg, aes(x = drv, y = mean_hwy)) + geom_col()

크기 순으로 정렬하기
ggplot(data = df_mpg, aes(x = reorder(drv, -mean_hwy), y = mean_hwy)) + geom_col()

색 채우기
ggplot(data = sex_income, aes(x = ageg, y = mean_income, fill = sex)) + geom_col()

position 변경하기 (기본값 : "stack")
ggplot(data = sex_income, aes(x = ageg, y = mean_income, fill = sex)) + geom_col(position = "dodge")

2-2. 빈도 막대 그래프 생성하기 (geom_bar)
빈도 막대 그래프는 값의 개수(빈도)로 막대의 길이를 표현한 그래프이다.
별도로 표를 만들지 않고 원자료를 이용해 바로 그래프를 생성한다.
ggplot(data = mpg, aes(x = drv)) + geom_bar()

3. 선 그래프 (Line Chart)
데이터를 선으로 표현한 그래프로, 시간에 따라 달라지는 데이터를 표현할 때 사용한다.
ggplot(data = economics, aes(x = date, y = unemploy)) + geom_line()

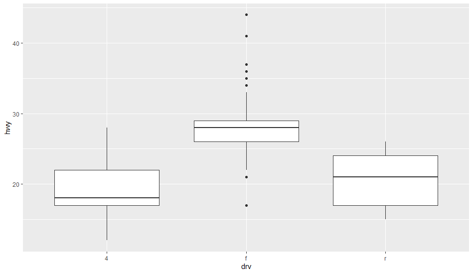
4. 상자 그림 (Box Plot)
데이터의 분포를 직사각형 상자 모양으로 표현한 그래프로, 집단 간 분포 차이를 표현할 때 사용한다.
| 상자 아래 세로선 | 아래 수염 | 하위 0~25% 내에 해당하는 값 |
| 상자 밑면 | 1사분위수 (Q1) | 하위 25% 위치 값 |
| 상자 내 굵은 선 | 2사분위수 (Q2) | 하위 50% 위치 값 (중앙값) |
| 상자 윗면 | 3사분위수 (Q3) | 하위 75% 위치 값 |
| 상자 위 세로선 | 윗 수염 | 하위 75~100% 내에 해당하는 값 |
| 상자 밖 점 표식 | 극단치 | Q1, Q3 밖 1.5 IQR을 벗어난 값 |
| IQR | Q1~Q3간 거리 (사분위 범위) |
ggplot(data = mpg, aes(x = drv, y = hwy)) + geom_boxplot()

728x90
'데이터 분석 > R' 카테고리의 다른 글
| [R] 이상치 정제하기 (0) | 2021.06.25 |
|---|---|
| [R] 데이터 정제하기 (0) | 2021.06.25 |
| [R] 데이터 전처리 (Preprocessing) (0) | 2021.06.25 |
| [R] 파생 변수 생성 (0) | 2021.06.19 |
| [R] 데이터 수정하기 (0) | 2021.06.19 |